Thông tin về vụ việc, ông Sái Công Hồng - Phó Cục trưởng Cục Quản lý chất lượng, Bộ GD&ĐT cho biết: Trong quá trình đối soát dữ liệu điểm thi từ các địa phương gửi về, Bộ GD&ĐT đã phát hiện những bất thường về điểm thi của một số bài thi trắc nghiệm tại Hội đồng thi tỉnh Tây Ninh. Bộ GD&ĐT đã chỉ đạo Ban Chấm chi trắc nghiệm và Sở GD&ĐT tỉnh Tây Ninh rà soát, báo cáo Bộ GD&ĐT.
Căn cứ báo cáo, Bộ GD&ĐT đã chỉ đạo Sở GD&ĐT Tây Ninh tổ chức gặp gỡ 34 thí sinh và gia đình các em ngay sau khi công bố kết quả thi để trao đổi, động viên các em. Để đảm bảo quyền lợi của thí sinh và thực hiện đúng quy chế thi, Bộ GD&ĐT đã yêu cầu đưa những bài thi này vào diện chấm phúc khảo và yêu cầu cập nhật, công bố kết quả phúc khảo để thí sinh kịp thời sử dụng trong xét tuyển sinh ĐH, CĐ.
Theo báo cáo của Ban Phúc khảo bài thi trắc nghiệm Hội đồng thi Sở GD&ĐT tỉnh Tây Ninh, việc chấm phúc khảo đã được thực hiện theo đúng quy trình phúc khảo của Bộ GD&ĐT: Ban Phúc khảo đã rút bài thi của thí sinh, đối chiếu với biên bản thu bài thi, sơ đồ phát đề thi và dữ liệu ảnh quét của thí sinh để kiểm tra tính chính xác, xác định rõ nguyên nhân rồi tiến hành chấm phúc khảo.
Sau khi chấm phúc khảo, 58 bài thi trắc nghiệm của 34 thí sinh thuộc Hội đồng thi Sở GĐ&ĐT tỉnh Tây Ninh đã được trả về kết quả thực. Nguyên nhân của việc 58 bài thi trắc nghiệm bị điểm 0 được phát hiện là do thí sinh tô sai mã đề, tô nhầm số báo danh và tô mờ đáp án
Ông Sái Công Hồng cũng cho biết, việc 58 bài thi trắc nghiệm của 34 thí sinh bị điểm 0 là hiện tượng cá biệt, chỉ xảy ra ở Hội đồng thi Sở GĐ&ĐT tỉnh Tây Ninh.
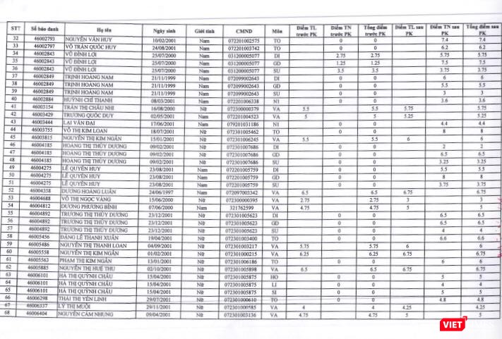
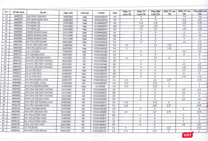
Danh sách 95 thí sinh thay đổi điểm thi sau phúc khảo tại tỉnh Tây Ninh.
![]() |
![]() |
![]() |


