Ghi chú: Đáp án được khoanh tròn là lựa chọn của thí sinh, ngay dưới đề thi là đáp án tham khảo.
Môn Sinh học:
![]() |
![]() |
![]() |
![]() |
![]() |
![]() |
|
Đề thi và đáp án tham khảo môn Sinh học thi THPT quốc gia 2019 mã đề 212
|
Môn Hóa học:
![]() |
![]() |
![]() |
![]() |
![]() |
|
Đề thi và đáp án tham khảo môn Hóa học kì thi THPT quốc gia 2019 mã đề 213
|
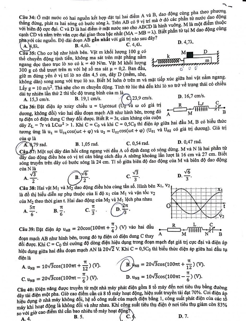
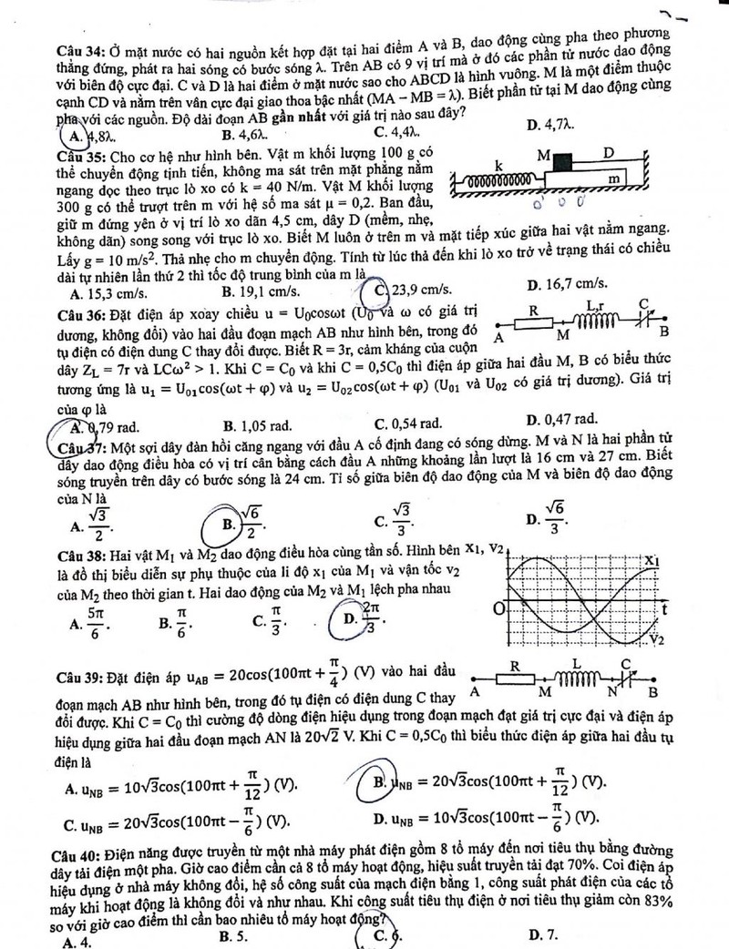
Môn Vật lý:
![]() |
![]() |
![]() |
![]() |
Lời giải tham khảo môn Vật lý thi THPT quốc gia 2019 mã đề 202
![]() |
|
Lời giải tham khảo môn Vật lý thi THPT quốc gia 2019 mã đề 202
|
Giờ làm bài tổ hợp Khoa học tự nhiên kéo dài 50 phút/môn, bắt đầu từ 7h35 và kết thúc lúc 10h05 sáng nay (26/6),
Đề thi môn mỗi môn gồm 24 mã đề được ra theo hình thức trắc nghiệm bao gồm 40 câu hỏi. Mỗi câu hỏi có 4 đáp án để lựa chọn, các thí sinh có 50 phút để hoàn thành bài thi của mình.
Dự kiến chiều 27/6, khi kết thúc buổi thi cuối cùng, Bộ GD&ĐT sẽ công bố đáp án toàn bộ các môn thi.
Trong chiều nay, thí sinh làm bài thi môn Ngoại ngữ với thời gian là 60 phút.
- Ngày 27/6: bài giải các môn Lịch sử, Địa lý, Giáo dục công dân.
So với các năm trước, quy chế thi THPT 2019 có một số thay đổi. Trong đó, đề thi chủ yếu nằm trong chương trình lớp 12, thí sinh tự do, giáo dục thường xuyên (GDTX) thi chung với thí sinh lớp 12
Cùng với đó, loại giỏi đối với Giấy chứng nhận nghề, loại xuất sắc và giỏi đối với Bằng trung cấp: cộng 2 điểm. Loại khá đối với Giấy chứng nhận nghề, loại khá và trung bình khá đối với Bằng trung cấp: cộng 1,5 điểm. Loại trung bình: cộng 1,0 điểm.
Năm nay, công thức tính điểm xét tốt nghiệp THPT đối với các thí sinh THPT có sự thay đổi. Theo đó, điểm xét tốt nghiệp Trung học phổ thông cũng thay đổi theo tỷ lệ 70% điểm bài thi Trung học phổ thông quốc gia và 30% điểm trung bình cả năm lớp 12.
Được biết, theo thống kê của Bộ GD&ĐT, tổng số thí sinh đăng ký dự thi THPT quốc gia năm 2019 là 886.650 thí sinh, giảm gần 40.000 thí sinh so với kỳ thi THPT quốc gia năm 2018.
Báo cáo nhanh của Ban chỉ đạo thi THPT Quốc gia vào chiều qua, kết thúc ngày thi thứ nhất, có 34 thí sinh vi phạm quy chế thi và 2 cán bộ coi thi bị đình chỉ nhiệm vụ.
Tổng số thí sinh đăng kí dự thi môn Ngữ văn là 871.843 em; môn Toán là 882.524 em. Tổng số thí sinh đến dự thi môn Ngữ văn là 868.378 em, đạt tỷ lệ 99,60%; môn Toán có 878.393 em, đạt tỷ lệ 99,53%.
Tổng số thí sinh vi phạm quy chế thi là 34 (khiển trách 1, cảnh cáo 3, đình chỉ 30). Đã đình chỉ công tác coi thi đối với 2 cán bộ.
Ban chỉ đạo thi THPT Quốc gia đánh giá: Kết thúc ngày thi thứ nhất, các điểm thi trên cả nước tổ chức thi an toàn, nghiêm túc và đúng quy chế.
















