Chiều 9/8, các thí sinh ở các tỉnh thành trên cả nước tiếp tục kỳ thi tốt nghiệp THPT 2020 với bộ môn Toán.
Đề thi tốt nghiệp THPT môn Toán 2020 - Tất cả mã đề gồm: 101, 102, 103, 104, 105, 106, 107, 108, 109, 110, 111, 112, 113, 114, 115, 116, 117, 118, 119, 120, 121, 122, 123, 124
VietTimes cập nhật đáp án đề thi tốt nghiệp THPT năm 2020 môn Toán mã đề 111
Bạn đọc vui lòng nhấn F5 hoặc load lại trang để cập nhật kết quả.
*Đang cập nhật...
![]() |
![]() |
![]() |
![]() |
![]() |
|
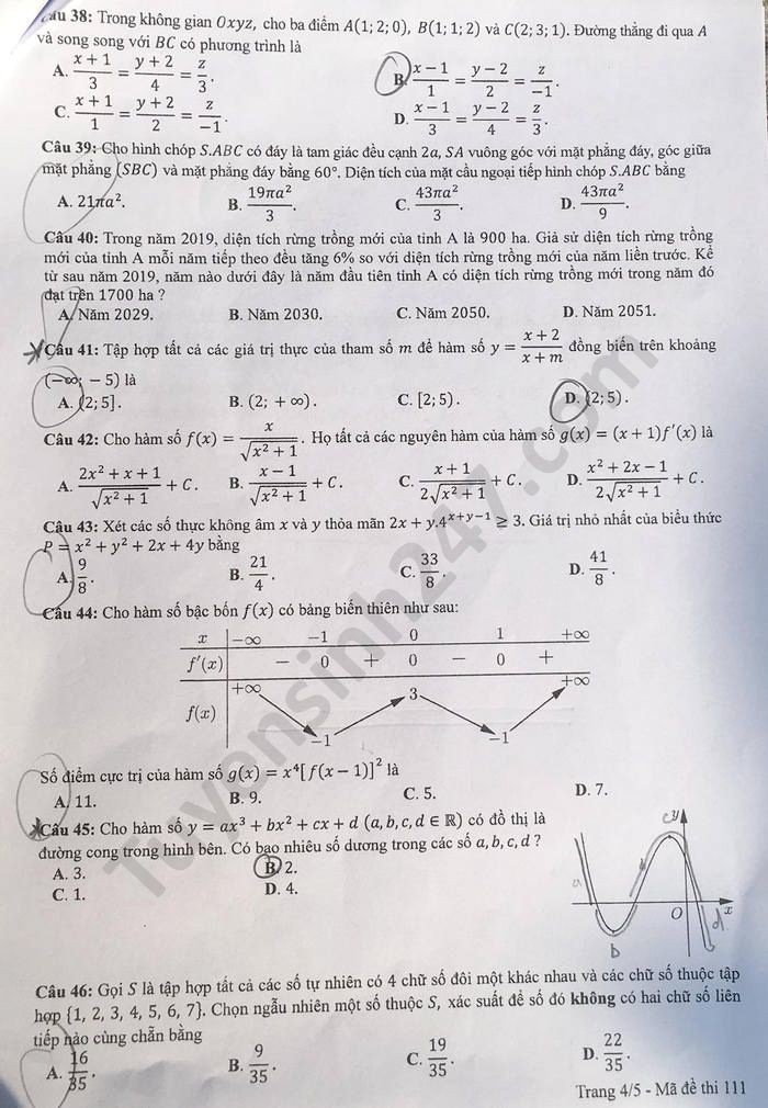
Đề thi tốt nghiệp THPT năm 2020 môn Toán mã đề 111. Nguồn: TTHN
|
![]() |
|
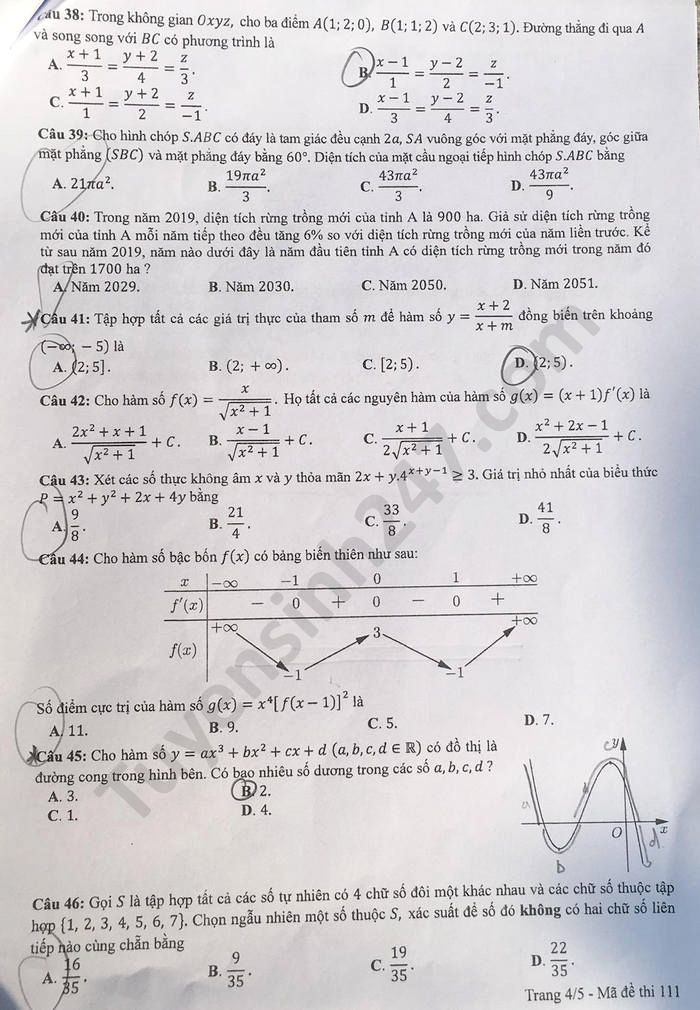
Đáp án tham khảo đề thi tốt nghiệp THPT năm 2020 môn Toán mã đề 111. Nguồn: TTHN
|







