Chiều 3/9, các thí sinh tiếp tục kỳ thi tốt nghiệp THPT 2020 đợt 2 với bộ môn Toán, thời gian làm bài 90 phút theo hình thức trắc nghiệm. Bộ Giáo dục và Đào tạo yêu cầu các bài thi trong đợt 2 phải đảm bảo độ khó dễ tương tương với đợt 1.
* Đáp án đề thi môn Toán thi THPT năm 2020 đợt 2 đang được cập nhật tại đây...
Bạn đọc hãy ấn F5 hoặc tải lại trang để thấy những cập nhật mới nhất về đề thi và đáp án môn Văn ở dưới đây.
Đề thi tốt nghiệp THPT 2020 đợt 2 môn Toán - Tất cả mã đề gồm: 101, 102, 103, 104, 105, 106, 107, 108, 109, 110, 111, 112, 113, 114, 115, 116, 117, 118, 119, 120, 121, 122, 123, 124.
Xem lời giải chi tiết đề thi tốt nghiệp THPT năm 2020 môn Toán mã đề 102
Đang cập nhật....
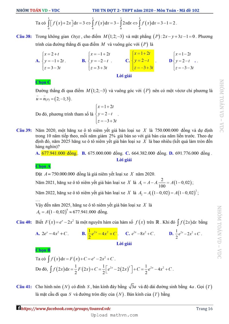
![]() |
|
Nhập mô tả ảnh
|
![]() |
![]() |
![]() |
![]() |
![]() |
![]() |
![]() |
![]() |
![]() |
![]() |
![]() |
Đề thi tốt nghiệp THPT 2020 đợt 2 môn Toán - Tất cả mã đề gồm: 101, 102, 103, 104, 105, 106, 107, 108, 109, 110, 111, 112, 113, 114, 115, 116, 117, 118, 119, 120, 121, 122, 123, 124.
Xem đáp án tham khảo đề thi tốt nghiệp THPT năm 2020 môn Toán mã đề 102 tại đây.
Đang cập nhật....
![]() |
|
Đáp án tham khảo đề thi tốt nghiệp THPT năm 2020 môn Toán mã đề 102
|
Đề thi tốt nghiệp THPT 2020 đợt 2 môn Toán - Tất cả mã đề gồm: 101, 102, 103, 104, 105, 106, 107, 108, 109, 110, 111, 112, 113, 114, 115, 116, 117, 118, 119, 120, 121, 122, 123, 124.
Xem đáp án tham khảo đề thi tốt nghiệp THPT năm 2020 môn Toán mã đề 102 tại đây.
Lưu ý: Đáp án trong đề thi của thí sinh có thể không chính xác. Chúng tôi sẽ tiếp tục cập nhật đáp án tham khảo của thầy cô trong thời gian sớm nhất!
Đang cập nhật....
![]() |
![]() |
![]() |
![]() |
![]() |
![]() |
|
Đề thi tốt nghiêp THPT năm 2020 đợt 2 môn Toán
|
Đề thi tốt nghiệp THPT 2020 đợt 2 môn Toán - Tất cả mã đề gồm: 101, 102, 103, 104, 105, 106, 107, 108, 109, 110, 111, 112, 113, 114, 115, 116, 117, 118, 119, 120, 121, 122, 123, 124.
Xem đáp án tham khảo đề thi tốt nghiệp THPT năm 2020 môn Toán mã đề 107 tại đây.
Lưu ý: Đáp án trong đề thi của thí sinh có thể không chính xác. Chúng tôi sẽ tiếp tục cập nhật đáp án tham khảo của thầy cô trong thời gian sớm nhất!
Đang cập nhật....
![]() |
![]() |
![]() |
![]() |
![]() |
|
Đề thi tốt nghiệp THPT năm 2020 đợt 2 môn Toán mã đề 107. Nguồn: TTHN
|
Đề thi tốt nghiệp THPT 2020 đợt 2 môn Toán - Tất cả mã đề gồm: 101, 102, 103, 104, 105, 106, 107, 108, 109, 110, 111, 112, 113, 114, 115, 116, 117, 118, 119, 120, 121, 122, 123, 124.
Xem đáp án tham khảo đề thi tốt nghiệp THPT năm 2020 môn Toán mã đề 112 tại đây.
Lưu ý: Đáp án trong đề thi của thí sinh có thể không chính xác. Chúng tôi sẽ tiếp tục cập nhật đáp án tham khảo của thầy cô trong thời gian sớm nhất!
Đang cập nhật....
![]() |
![]() |
![]() |
![]() |
![]() |
|
Đề thi tốt nghiệp THPT năm 2020 đợt 2 môn Toán mã đề 112. Nguồn: TTHN
|
Trước đó, vào buổi sáng 3/9, các thí sinh đã hoàn thành môn thi Ngữ Văn với thời gian 120 phút, theo hình thức tự luận. Theo báo cáo nhanh từ Bộ Giáo dục và Đào tạo, có 26.075 đến làm thủ tục dự thi (đạt tỷ lệ 98,45% so với tổng số thí sinh đăng ký dự thi là 26.485 thí sinh); số thí sinh không đến làm thủ tục dự thi là 410 (1,55%).





























